维生素动物原料药医药中间体
产品详情
您的位置: 首页 > 产品中心

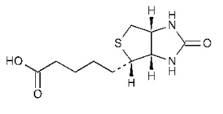
生物素

中文名称:生物素

英文名称:BIOTIN, D-BIOTIN, VITAMIN H

CAS 号:58-85-5

别       名D-生物素, 维生素H

化学结构:

外       观:白色或类白色结晶性粉末

含       量:98.5%-101.0%

用       途:营养强化剂

产       品:

  • 纯品:食品级,饲料级
  • 饲料添加剂:2%。10%

地址:江西省贵溪市经济开发区 联系人:查经理 手机:18870195986 15971538906(微信同号) 电话:0701-3797936 传真:0701-3797936 
邮箱:sales@very-bright.com

 
点击这里给我发消息
客户服务